在債券投資過程中,很多投資者們都聽說過“債券久期”一詞,雖然接觸過很多次,但因沒有深入了解,所以對此部分知識點還不是很熟悉。因此,贏家財富網主編人員為大家系統整理了一下相關知識點,詳情如下所示:
第一、什么是債券久期
所謂債券久期是債券投資的專業術語,反映的是債券價格相對市場利率正常的波動敏感程度,也就是債券持有到期時間?,F在,它是債券投資重要參考指標之一。另外,久期越長,債券對利率敏感度越高,其對應風險也越大。投資者們可以透過債券久期在其所持債券實際到期日時回購債券,進而保障自己的收益。
第二、如何計算債券久期
債券久期計算公式有三種,分別是:
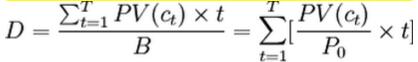
公式一:

【注意:D表示久期;B是債券當前市場價格;PV(Ct)是債券未來第t期可現金流現值;T是到期時間】
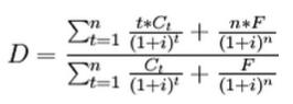
公式二:

【注意:D是久期;t是時間;Ct是第t期的現金流;F是面值或者到期日價值;n是到期期限;i是當前市場利率】
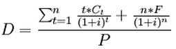
公式三:

【注意:P是市場價格】
為方便大家更好地理解這部分知識,現在舉例為大家解釋說明:
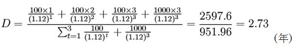
假如某只變通債券面值為1000元,期限是3年,需每年支付一次息票,年息票率是10%,此時的市場利率是12%,那么該債券久期是多少?
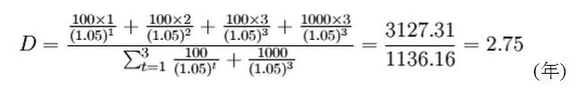
該債券久期如下:

若其他條件不變,市場利率下降到5%,那么此時的該債券久期為

同樣的若其他條件不變,市場利率上漲到20%,久期就應該是

再者,若其他條件不變,債券息票率變為0,那么,久期是

從以上案例中,我們可以看出,久期和市場利率成反比。另外,在投資者持有期間不支付利息的金融工具,其久期就等于到期期限或者是償還期限。
以上內容就是和大家分享的債券久期相關知識點,希望對廣大投資者們能夠有所幫助。另外,如果大家還想學習其他債券知識,請繼續關注本欄目的更新。
上一篇:干貨!特殊債券知識點講解
下一篇:掌握債券三方面技巧 助你炒
經營性網站備案信息
中國互聯網違法和不良信息舉報中心
本站帶寬由
河南網絡
網絡 110
服務中心:鄭州市金水區農業路經三路
郵編:450002 網址:www.hywhcm.com
銷售熱線:0371-65350319
技術支持:13333833889