(1)債券的理論價格:投資者在確定一個市場投資收益率后,根據債券的期限、票面利率、付息頻率等要素就可以計算出債券的理論價格。債券的市場價格圍繞著債券的理論價格上下波動,債券的理論價格反映了市場投資資金流動的平衡點。
可見債券的市場價格高于理論價格時,債券被高估,應拋出該債券或不投資該債券;當債券的市場價格低于理論價格時,債券被低估,應買入該債券或繼續持有該債券。
(2)債券理論價格的計算:債券的定價實際上:就是計算債券理論價格的過程,在銀間債券市場小不同債券的價格有不同的計算方法。
第—類債券其理論價格計算公式為:

式中,PV為債券今價(包括成交價格和應計利息);FV為到期本息之和;D為債券交割白至債券兌付日的實際天數;y為投資者自己確定的收益率,或是市場平均投資收益率。
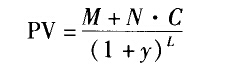
第二類債券包括剩余流通期限在1年以上的到期還本付息債券,其理論價格的計算公式為:

式中,PV表示的是債券全價;C表示債券票面年利息;N表示債券償還期限;M表示債券面值;L表示債券的剩余流通期限(年),y表示投資者自己確定的收益率,或市場平均投資收益率。
例如:1997午5月1口發行一只3年期,票面利率為9.18%的到期一次還本付息債,1998年5月1口,該債券還有2年到期,當時市場價格為l12.6元,有一個投資者希望收益率不要低于6%,那么該投資者是否府買入該債券?
可以根據該投資者確定的最低收益率和價格計算公式算出該債券的理論價格:
由于市場價格低于理論價格,該債券被低估,因此決定購買該債券。
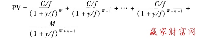
第三類債券包括不處于最后付息周期的固定利率附息債券和濘動利率債券,其理論價格的計算公式為:

公式中,PV表示債券全價;f表示債券每年的利息支付頻率;以D表示從債券交割日到下一次付息日的實際天數,W=D/(365/f);M為債券面值;n為剩余的付息次數;n-1為剩余的付息周期數;C為當期債券票面年利息;y為投資者自己確定的收益率,或市場平均投資收益率。
上一篇:用四大理論巧解債券收益率曲
下一篇:從價格變動看債券的敏感性
經營性網站備案信息
中國互聯網違法和不良信息舉報中心
本站帶寬由
河南網絡
網絡 110
服務中心:鄭州市金水區農業路經三路
郵編:450002 網址:www.hywhcm.com
銷售熱線:0371-65350319
技術支持:13333833889