金融術語有很多,卡方檢驗就是其中一種,什么是卡方檢驗,它有什么作用,這是很多對此不熟悉的人會有的疑問。今天贏家財富網小編就和大家詳細介紹下該知識點,希望對大家學習該金融術語有所幫助。
第一、概念
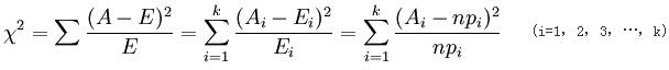
什么是卡方檢驗。卡方檢驗是一種非參數檢驗的以χ2分布為基礎的假設檢驗方法,其無效假設一般用H0表示。主要思想是比較理論頻數、實際頻數的契合度,常見于分類資料的統計推斷。卡方值表示觀察值和理論值的偏離程度,其計算公式如下所示

其中,A代表觀察頻數,E代表期望頻數,A、E之間的差值就是殘差。
它分為三種類型,即四格表資料卡方檢驗、行*列表資料卡方檢驗、列聯表資料卡方檢驗。

第二、應用條件
1.四格表卡方檢驗應用條件
A.隨即樣本數據;
B.理論頻數不要太小
2.行*列表卡方檢驗應用條件
A.行、列表中,理論數比5小的格子不能超過1/5;
B.表中不能出現小于5的理論數。
第三、用途
卡方檢驗最常見用于考察無序分類變量個水平在兩組(多組)間 是否分布一致,但除此之外,還有以下用途:
1.檢驗某分類變量各類出現概率是否和指定概率相同;
2.檢驗某兩個分類變量是不是相互獨立;
3.檢驗某連續變量分布和理論分布是不是一致;
4.檢驗兩種方法結果是不是一樣;
5.檢驗控制某種因素作用后,另外兩個分類變量是否相互獨立;

綜上所述,就是和大家介紹的有關卡方檢驗的知識點,希望大家通過閱讀本篇文章能夠對此知識點有基本理解。如果大家還想學習更多金融術語,請繼續關注閱讀金融常識欄目。
上一篇:金融超市如何運作 金融超市
下一篇:2017投資者如何打理資產 20
經營性網站備案信息
中國互聯網違法和不良信息舉報中心
本站帶寬由
河南網絡
網絡 110
服務中心:鄭州市金水區農業路經三路
郵編:450002 網址:www.hywhcm.com
銷售熱線:0371-65350319
技術支持:13333833889