一、個股運行情況
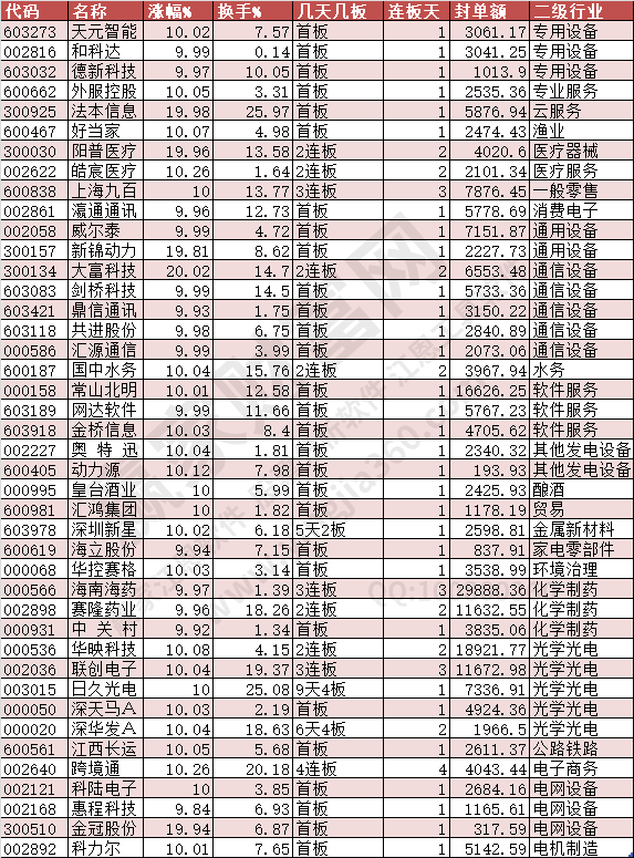
盤面上,高位股全線重挫,大眾交通、科森科技、深圳華強、偉時電子、日發精機、老百姓跌停;華為產業鏈午后走強,常山北明、網達軟件、大富科技漲停,拓維信息、久遠銀海等跟漲;互聯網電商概念領漲,跨境通4連板,星徽股份、獅頭股份等跟漲。高壓快充概念漲幅居前,金冠電氣、奧特迅、和科達、動力源漲停。旅游及酒店概念重挫,祥源文旅跌停,西域旅游、君亭酒店跌超4%。中藥股股領跌,華潤三九、香雪制藥跌超7%。
二、熱點股票概念
板塊方面,軟件開發、互聯網電商、游戲、白酒、半導體、F5G概念、華為歐拉、華為鯤鵬、鴻蒙概念等板塊漲幅居前;旅游、醫藥商業、保險、中藥、房地產、芬太尼、高壓氧艙等板塊跌幅居前。
三、今日除新股一字板部分漲停(除ST)

經營性網站備案信息
中國互聯網違法和不良信息舉報中心
本站帶寬由
河南網絡
網絡 110
服務中心:鄭州市金水區農業路經三路
郵編:450002 網址:www.hywhcm.com
銷售熱線:0371-65350319
技術支持:13333833889